31+ partial correlation calculator
As a result we distinguish between first-order partial correlation. Web Perform the following steps to calculate the partial correlation between hours and exam while controlling for grade.
Correlation Coefficient Calculator
It is designed for.

. Web The Semi-partial correlation between Memory and Practice but controlling for Anxiety was s r 0503. Web For Three Intercorrelated Variables. It uses Evans scale 1996 to describe the strength of.
Of Concepts and Applications. Web Our correlation coefficient calculator will also whenever possible display the interpretation of the result. Web This free online software calculator computes the partial correlations for a trivariate dataset.
Each x i y i couple on separate lines. Web Pearson Correlation Coefficient Calculator The Pearson correlation coefficient is used to measure the strength of a linear association between two variables where the value r 1. Enter your data as xy pairs to find the Pearsons.
You may change the X and Y labels. X1y1 x2y2 x3y3 x4y4 x5y5 All x i values in the first line and. The part correlation coefficient also known as semi-partial correlation coefficient assesses the degree of association between two variables X_1 X.
Web The procedure to use the correlation coefficient calculator is as follows. Click the Analyze tab. Enter the x and y data values separated by a comma in the respective input field Step 2.
Web Part Correlation Calculator. Web This calculator can be used to calculate the sample correlation coefficient. Are described in Subchapter 3a.
Web The partial correlation can be generalized to situations where you control for more than one variable. Web Correlation Calculator When two sets of data are strongly linked together we say they have a High Correlation. Enter or paste your data delimited by hard returns.
Web The correlation calculator and covariance calculator calculates the correlation and tests the significance of the result. This means that any value beyond this range will be the result of an error in correlation. Details of partial correlation.
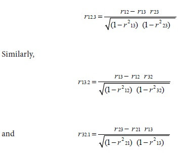
The logic and computational. Web CorrelationCalculator is a standalone Java application providing various methods of calculating pairwise correlations among repeatedly measured entities. Web Partial correlation is a method used to describe the relationship between two variables whilst taking away the effects of another variable or several other variables on this.
Web Up to 20 cash back The value of the correlation coefficient ranges from -10 to 10. If we square it becomes s r 2 0253 which matches our a from the.
Pdf Sims Score Simple Method For Quantifying Metabolic Syndrome
Dgra Multi Sourcing And Supplier Classification Through Dynamic Grey Relational Analysis Method Sciencedirect
Partial Correlation Partial And Multiple Correlation Study Material Lecturing Notes Assignment Reference Wiki Description Explanation Brief Detail
Partial Correlation Practice Problem Youtube
Estimate Of Simple And Partial Correlation Coefficients Download Table
Partial Correlation In Spss Statistics Procedure Assumptions And Output Using A Relevant Example
Correlation Calculator Datatab
How To Calculate Partial Correlation Coefficient In R Quick Guide Finnstats
Partial And Semipartial Correlation
V13 6 Semi Partial Correlation Type B In Spss Youtube
Internet Based Cognitive Behavioral Therapy For Employees With Anxiety Depression Social Phobia Or Insomnia Clinical And Work Outcomes Mark Attridge 2020
Partial And Semipartial Correlation
Partial And Semipartial Correlation
Help Online Origin Help Partial Correlation Coefficient Pro Only
V14 3 Semi Partial Correlations Multiple Regression In Spss Youtube
Venn Diagram Calculator Online Solver With Free Steps
Pdf Predicting The Hydroxymethylation Rate Of Phenols With Formaldehyde By Molecular Orbital Calculation
Komentar
Posting Komentar